Skip to content Skip to sidebar Skip to footer

Consider A Carnot Cycle Executed In A Closed System

Solved Consider A Carnot Cycle Executed In A Closed System With Air As The Working Fluid The Maximum Pressure In The Cycle Is 1300 Kpa While The Maximum Temperature Is 950 Mathrm K If

Solved Consider A Carnot Cycle Executed In A Closed System With Air As The Working Fluid The Maximum Pressure In The Cycle Is 1300 Kpa While The Maximum Temperature Is 950 Mathrm K If

Consider a carnot cycle executed in a closed system. A Carnot refrigeration cycle executed in a closed system in the saturated liquid-vapor mixture region using 085 kg of refrigerant-134a as the working fluid. Consider a Carnot cycle executed in a closed system with 06 kg of air. The maximum pressure in the cycle is 1300 kPa while the maximum temperature is 950 K.

The pressures before and after the isothermal compression are 150 and 300 kPa respectively. Consider a Carnot cycle executed in a closed system with air as the working fluid. It is known that the maximum absolute temperature in the cycle is twice the minimum absolute temperature and the net work output of the cycle is 25 kJ.

Consider a Carnot heat-engine cycle executed in a closed system using 00103 kg of steam as the working fluid. Consider a Carnot refrigeration cycle executed in a closed system in the saturated liquidvapor mixture region using 106 kg of refrigerant-134a as the working fluid. Assuming constant specific heats determine the net work output per cycle.

The temperature limits of the cycle are 300 and 900 K and the minimum and maximum pressures that occur during the cycle are 20 and 2000 kPa. Carnot cycle with the specified temperature limits is considered. The maximum pressure in the cycle is 1300 kPa while the maximum temperature is 950 K.

Consider a Carnot cycle executed in a closed system with 08 kg of air. Consider a Carnot refrigeration cycle executed in a closed system in the saturated liquidvapor mixture region using 096kg of refrigerant-134a as the working fluid. If the entropy increase during the isothermal heat rejection process is.

It is known that the maximum absolute temperature in the cycle is 12 times the minimum absolute temperature and the net work input to the cycle is 22 kJ. 1 Answer to Consider a Carnot cycle executed in a closed system with air as the working fluid. An air standard Carnot cycle is executed in a closed system between the temperature limits of 350 K and 1200 K.

7-2-4 tmax-1200K An air standard Carnot cycle is executed in a closed system between the temperature limits of 350 K and 1200 K. The pressure before and after the isothermal compression are 150 kPa and 300 kPa respectively.

Solved Consider A Carnot Cycle Executed In A Closed System With 0 Chegg Com

Solved Consider A Carnot Cycle Executed In A Closed System With 0 Chegg Com

Solved Consider A Carnot Cycle Executed In A Closed System With Air As The Working Fluid The Maximum Pressure In The Cycle Is 1300 Kpa While The Maximum Temperature Is 950 Mathrm K If

Solved Consider A Carnot Cycle Executed In A Closed System With Air As The Working Fluid The Maximum Pressure In The Cycle Is 1300 Kpa While The Maximum Temperature Is 950 Mathrm K If

Solved Consider A Carnot Cycle Executed In A Closed System With A Chegg Com

Solved Consider A Carnot Cycle Executed In A Closed System With A Chegg Com

Answered Consider A Carnot Cycle Executed In A Bartleby

Answered Consider A Carnot Cycle Executed In A Bartleby

Solved Consider A Carnot Cycle Executed In A Closed System Chegg Com

Solved Consider A Carnot Cycle Executed In A Closed System Chegg Com

Solved Consider A Carnot Refrigeration Cycle Executed In A Closed System In The Saturated Liquid Vapor Mixture Region Using 0 96 Mathrm Kg Of Refrigerant 134a As The Working Fluid It Is Known That The Maximum Absolute

Solved Consider A Carnot Refrigeration Cycle Executed In A Closed System In The Saturated Liquid Vapor Mixture Region Using 0 96 Mathrm Kg Of Refrigerant 134a As The Working Fluid It Is Known That The Maximum Absolute

Solved Consider A Carnot Cycle Executed In A Closed System With A Chegg Com

Solved Consider A Carnot Cycle Executed In A Closed System With A Chegg Com

Answered Consider A Carnot Cycle Executed In A Bartleby

Answered Consider A Carnot Cycle Executed In A Bartleby

Solved Consider A Carnot Cycle Executed In A Closed System With 0 6 Mathrm Kg Of Air The Temperature Limits Of The Cycle Are 300 And 1100 Mathrm K And The Minimum And Maximum Pressures That

Solved Consider A Carnot Cycle Executed In A Closed System With 0 6 Mathrm Kg Of Air The Temperature Limits Of The Cycle Are 300 And 1100 Mathrm K And The Minimum And Maximum Pressures That

Solved 4 Consider A Carnot Refrigeration Cycle Executed In Chegg Com

Solved 4 Consider A Carnot Refrigeration Cycle Executed In Chegg Com

7 49 Rejecting Waste Heat To The Cold Region Near The Top 7 122

7 49 Rejecting Waste Heat To The Cold Region Near The Top 7 122

Solved Consider A Carnot Cycle Executed In A Closed System Chegg Com

Solved Consider A Carnot Cycle Executed In A Closed System Chegg Com

Solved Consider A Carnot Cycle Executed In A Closed System With 0 6 Mathrm Kg Of Air The Temperature Limits Of The Cycle Are 300 And 1100 Mathrm K And The Minimum And Maximum Pressures That

Solved Consider A Carnot Cycle Executed In A Closed System With 0 6 Mathrm Kg Of Air The Temperature Limits Of The Cycle Are 300 And 1100 Mathrm K And The Minimum And Maximum Pressures That

Assignment 5 Solution

Assignment 5 Solution

Answered 1 Consider A Carnot Cycle Executed In Bartleby

Answered 1 Consider A Carnot Cycle Executed In Bartleby

Consider A Carnot Cycle Executed In A Closed System With 0 6 Kg Of Air The Temperature Limits Of Brainly Com

Consider A Carnot Cycle Executed In A Closed System With 0 6 Kg Of Air The Temperature Limits Of Brainly Com

A Carnot Refrigeration Cycle Operating In The Saturation Dome A Carnot Refrigeration Cycle Is Executed In A Closed System In The Saturated Liquid Vapor Mixture Region Using 0 8 Kg Of Refrigerant 134a As

A Carnot Refrigeration Cycle Operating In The Saturation Dome A Carnot Refrigeration Cycle Is Executed In A Closed System In The Saturated Liquid Vapor Mixture Region Using 0 8 Kg Of Refrigerant 134a As

Solved 5 Consider A Carnot Cycle Executed In A Closed Chegg Com

Solved 5 Consider A Carnot Cycle Executed In A Closed Chegg Com

20 Consider A Carnot Cycle Executed In A Closed System With 06 Kg Of Air The Temperature Limits Of The Cycle Are 300 And 1100 K And The Minimum Course Hero

20 Consider A Carnot Cycle Executed In A Closed System With 06 Kg Of Air The Temperature Limits Of The Cycle Are 300 And 1100 K And The Minimum Course Hero

Exam0201 Pdf Question Consider A Carnot Cycle Executed In A Closed System With Air As The Working Fluid The Maximum Pressure In The Cycle Is 800 Kpa Course Hero

Exam0201 Pdf Question Consider A Carnot Cycle Executed In A Closed System With Air As The Working Fluid The Maximum Pressure In The Cycle Is 800 Kpa Course Hero

Gaspowercycle Exercise1 Me211

Gaspowercycle Exercise1 Me211

2

2

Chapter 9

Chapter 9

Exam 72 Pdf Question Consider A Carnot Heat Pump Cycle Executed In A Steady Flow System In The Saturated Liquid Vapor Mixture Region Using Course Hero

Exam 72 Pdf Question Consider A Carnot Heat Pump Cycle Executed In A Steady Flow System In The Saturated Liquid Vapor Mixture Region Using Course Hero

Consider A Steady Flow Carnot Cycle With Water As The Working Fluid Executed Under The Saturation Dome Between The Pressure Limits Of 8 Mpa And 20 Kpa Water Changes Form Saturated Liquid To

Consider A Steady Flow Carnot Cycle With Water As The Working Fluid Executed Under The Saturation Dome Between The Pressure Limits Of 8 Mpa And 20 Kpa Water Changes Form Saturated Liquid To

Thermodynamics Me2121 Tutorial 3 Nus

Thermodynamics Me2121 Tutorial 3 Nus

2

2

Answered Consider A Carnot Cycle Executed In A Bartleby

Answered Consider A Carnot Cycle Executed In A Bartleby

Solved 6 133 Consider A Carnot Heat Engine Cycle Executed In Chegg Com

Solved 6 133 Consider A Carnot Heat Engine Cycle Executed In Chegg Com

Question Consider A Carnot Refrigeration Cycle Executed In A Closed System In The Saturated Liquid Vapor Mixture Region Using 08 Kg Course Hero

Question Consider A Carnot Refrigeration Cycle Executed In A Closed System In The Saturated Liquid Vapor Mixture Region Using 08 Kg Course Hero

Carnot Cycle An Overview Sciencedirect Topics

Carnot Cycle An Overview Sciencedirect Topics

Solved Consider A Steady Flow Carnot Cycle With Water As The Working Fluid Executed Under The Saturation Dome Between The Pressure Limits Of 1 Mathrm Mpa And 10 Mathrm Kpa Water Changes From Saturated Liquid To

Solved Consider A Steady Flow Carnot Cycle With Water As The Working Fluid Executed Under The Saturation Dome Between The Pressure Limits Of 1 Mathrm Mpa And 10 Mathrm Kpa Water Changes From Saturated Liquid To

2

2

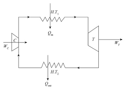
Devise A Carnot Heat Engine Using Steady Flow Components And Describe How The Carnot Cycle Is Executed In That Engine What Happens When The Directions Of Heat And Work Interactions Are Reversed

Devise A Carnot Heat Engine Using Steady Flow Components And Describe How The Carnot Cycle Is Executed In That Engine What Happens When The Directions Of Heat And Work Interactions Are Reversed

Entropy Free Full Text The Carnot Cycle Reversibility And Entropy Html

Entropy Free Full Text The Carnot Cycle Reversibility And Entropy Html

Pdf Thermo Mechanical Dynamics Of A Piston Engine Carnot Cycle Entropy And The Second Law Of Thermodynamics

Pdf Thermo Mechanical Dynamics Of A Piston Engine Carnot Cycle Entropy And The Second Law Of Thermodynamics

Consider A Carnot Heat Engine Cycle Executed In A Closed System Using 0 025 Kg Of Steam As The Brainly Com

Consider A Carnot Heat Engine Cycle Executed In A Closed System Using 0 025 Kg Of Steam As The Brainly Com

Answered 2 Consider A Carnot Cycle Executed In Bartleby

Answered 2 Consider A Carnot Cycle Executed In Bartleby

2

2

5 75 Two Kilograms Of Water Execute A Carnot Power Cycle Cc

5 75 Two Kilograms Of Water Execute A Carnot Power Cycle Cc

Pdf Thermo Mechanical Dynamics Of A Piston Engine Carnot Cycle Entropy And The Second Law Of Thermodynamics

Pdf Thermo Mechanical Dynamics Of A Piston Engine Carnot Cycle Entropy And The Second Law Of Thermodynamics

Air Carnot Cycle Closed System Youtube

Air Carnot Cycle Closed System Youtube

20 Consider A Carnot Cycle Executed In A Closed System With 06 Kg Of Air The Temperature Limits Of The Cycle Are 300 And 1100 K And The Minimum Course Hero

20 Consider A Carnot Cycle Executed In A Closed System With 06 Kg Of Air The Temperature Limits Of The Cycle Are 300 And 1100 K And The Minimum Course Hero

001 Carnot Cycle

001 Carnot Cycle

2

2

Entropy Free Full Text The Carnot Cycle Reversibility And Entropy Html

Entropy Free Full Text The Carnot Cycle Reversibility And Entropy Html

001 Carnot Cycle

001 Carnot Cycle

An Air Standard Carnot Cycle Is Executed In A Closed System Between The Temperature Limits Of Homeworklib

An Air Standard Carnot Cycle Is Executed In A Closed System Between The Temperature Limits Of Homeworklib

Solved Consider A Carnot Cycle Executed In A Closed System With Air As The Working Fluid The Maximum Pressure In The Cycle Is 1300 Kpa While The Maximum Temperature Is 950 Mathrm K If

Solved Consider A Carnot Cycle Executed In A Closed System With Air As The Working Fluid The Maximum Pressure In The Cycle Is 1300 Kpa While The Maximum Temperature Is 950 Mathrm K If

Assuming constant specific heats determine the net work output per cycle.

An air standard Carnot cycle is executed in a closed system between the temperature limits of 350 K and 1200 K. Consider a Carnot heat-engine cycle executed in a closed system using 0025 kg of steam as the working fluid. If the net work output per cycle is 05 kJ determine a the maximum pressure in the cycle. It is known that the maximum absolute temperature in the cycle is twice the minimum absolute temperature and the net work output of the cycle is 60 kJ. The maximum pressure in the cycle is 1300 kPa while the maximum temperature is 950 K. It is known that the maximum absolute temperature in the cycle is 12 times the minimum absolute temperature and the net work input to the cycle is 22 kJ. The temperature limits of the cycle are 300 and 1100 K and the minimum and maximum pressures that. Consider a Carnot heat-pump cycle executed in a steady-flow system in the saturated liquid-vapor mixture region using refrigerant-134a flowing at a rate of 022 mathrmkg. It is known that the maximum absolute temperature in the cycle is twice the minimum absolute temperature and the net work output of the cycle is 25 kJ.


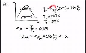
State the assumptions clearly. The temperature limits of the-cycle are 300 and 1100 K and the minimum and maximum pressures that occur during the cycle are 20. Consider a Carnot cycle executed in a closed system with 06 kg of air. The temperature limits of the cycle are 300 and 1100 K and the minimum and maximum pressures that occur during the cycle are 20 and 3000 kPa. The maximum pressure in the cycle is 1300 kPa while the maximum temperature is 950 K. State the assumptions clearly. Assuming constant specific heats determine the net work output per cycle.

Post a Comment for "Consider A Carnot Cycle Executed In A Closed System"